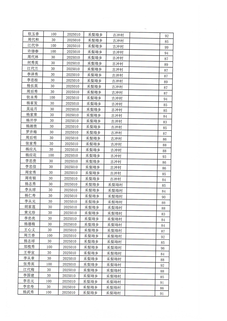
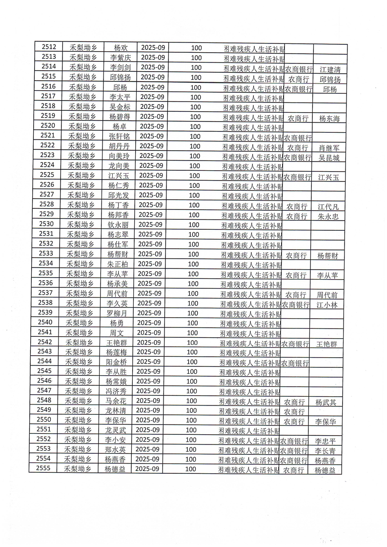
禾梨坳乡2025年第三季度高龄补贴发放名单、农村低保发放名单、临时救助发放名单、重残生活补贴发放名单、重残护理补贴发放名单
芷江侗族自治县人民政府
发布时间:
2026-01-22 17:11


















打印
来源:芷江县禾梨坳乡